Główne menu nawigacyjne
Ustawienia kontrastu
Ustawienia rozmiaru tekstu
Główna treść strony
Zakład Doskonalenia Zawodowego
Katowice
Zespół Szkół im. Orląt Lwowskich w Tychach
Menu
REKRUTACJA 2026/2027
ZAPISZ SIĘ na naszej stronie
INFORMACJA O SZKOLE
UMUNDUROWANIE KADETÓW KLAS WOJSKOWYCH I POLICYJNYCH
ZAPISZ SIĘ przez VULCAN
HARMONOGRAMY REKRUTACJI 2026/2027
KALENDARZ WYDARZEŃ
LICEUM SZTUK PLASTYCZNYCH
EGZAMIN DYPLOMOWY 2024/2025
SUKCESY i OSIĄGNIĘCIA
OPIS KIERUNKU
KADRA LICEUM SZTUK PLASTYCZNYCH
WSPÓŁPRACA
PODRĘCZNIK ARS LONGA
WERNISAŻE/ WYSTAWY
KIERUNKI KSZTAŁCENIA
SUKCESY I OSIĄGNIĘCIA
BRANŻOWA SZKOŁA I STOPNIA
*klasa wielozawodowa
LICEUM OGÓLNOKSZTAŁCĄCE
*klasa mundurowa: profil wojskowy
*klasa mundurowa: profil policyjny
TECHNIKUM
technik logistyk (klasa mundurowa)
O SZKOLE
KADRA PEDAGOGICZNA ROK SZKOLNY 2025/2026
Harmonogram roku szkolnego 2025/2026
Staże uczniowskie drogą do sukcesu!
#Naturalna Akademia Relacji w ZS Tychy
ESKULAPIADA
PROGRAMY MON
SAMORZĄD SZKOLNY 2025/2026
BAZA DYDAKTYCZNA
PATRON SZKOŁY
PRACOWNIE
POROZUMIENIA
CERTYFIKATY
NAPISALI O NAS
KADRA ADMINISTRACYJNA
SZKOLNY RZECZNIK PRAW UCZNIA I NAUCZYCIELA
PEDAGOG SZKOLNY
PSYCHOLOG SZKOLNY
PROJEKTY
UBEZPIECZENIE 25/26
FILMY O SZKOLE I WEBINARIA
PROGRAM MON-OPW
UPRAWNIENIA / CERTYFIKATY DLA UCZNIÓW
DO POBRANIA
PROGRAM WYCHOWAWCZO PROFILAKTYCZNY ZS TYCHY
EGZAMINY
REGULAMIN PRZYZNAWANIA STYPENDIUM
DYPLOMY, REFERNCJE,PODZIĘKOWANIA,ODZNACZENIA
STATUTY, REGULAMINY, PROCEDURY SZKOŁY
KONTAKT
RODO
REKRUTACJA 2026/2027
ZAPISZ SIĘ na naszej stronie
INFORMACJA O SZKOLE
UMUNDUROWANIE KADETÓW KLAS WOJSKOWYCH I POLICYJNYCH
ZAPISZ SIĘ przez VULCAN
LINK DO ZAPISU W SYSTEMIE VULCAN:
https://slaskie.edu.com.pl/kandydat/app/apply/index.html
HARMONOGRAMY REKRUTACJI 2026/2027
KALENDARZ WYDARZEŃ
LICEUM SZTUK PLASTYCZNYCH
EGZAMIN DYPLOMOWY 2024/2025
SUKCESY i OSIĄGNIĘCIA
OPIS KIERUNKU
KADRA LICEUM SZTUK PLASTYCZNYCH
WSPÓŁPRACA
PODRĘCZNIK ARS LONGA
WERNISAŻE/ WYSTAWY
KIERUNKI KSZTAŁCENIA
SUKCESY I OSIĄGNIĘCIA
BRANŻOWA SZKOŁA I STOPNIA
*klasa wielozawodowa
LICEUM OGÓLNOKSZTAŁCĄCE
*klasa mundurowa: profil wojskowy
*klasa mundurowa: profil policyjny
TECHNIKUM
technik logistyk (klasa mundurowa)
O SZKOLE
KADRA PEDAGOGICZNA ROK SZKOLNY 2025/2026
Harmonogram roku szkolnego 2025/2026
Staże uczniowskie drogą do sukcesu!
#Naturalna Akademia Relacji w ZS Tychy
ESKULAPIADA
PROGRAMY MON
SAMORZĄD SZKOLNY 2025/2026
BAZA DYDAKTYCZNA
PATRON SZKOŁY
PRACOWNIE
POROZUMIENIA
CERTYFIKATY
NAPISALI O NAS
KADRA ADMINISTRACYJNA
SZKOLNY RZECZNIK PRAW UCZNIA I NAUCZYCIELA
RODO
PEDAGOG SZKOLNY
PSYCHOLOG SZKOLNY
PROJEKTY
UBEZPIECZENIE 25/26
FILMY O SZKOLE I WEBINARIA
PROGRAM MON-OPW
UPRAWNIENIA / CERTYFIKATY DLA UCZNIÓW
DO POBRANIA
PROGRAM WYCHOWAWCZO PROFILAKTYCZNY ZS TYCHY
EGZAMINY
REGULAMIN PRZYZNAWANIA STYPENDIUM
DYPLOMY, REFERNCJE,PODZIĘKOWANIA,ODZNACZENIA
STATUTY, REGULAMINY, PROCEDURY SZKOŁY
KONTAKT
RODO
Ustawienia kontrastu
Domyślny kontrast
Zwiększony kontrast
Ustawienia wielkości tekstu
A
(Rozmiar tekstu - domyślny)
A
+
(Rozmiar tekstu - średni)
A
++
(Rozmiar tekstu - duży)
Strona główna
»
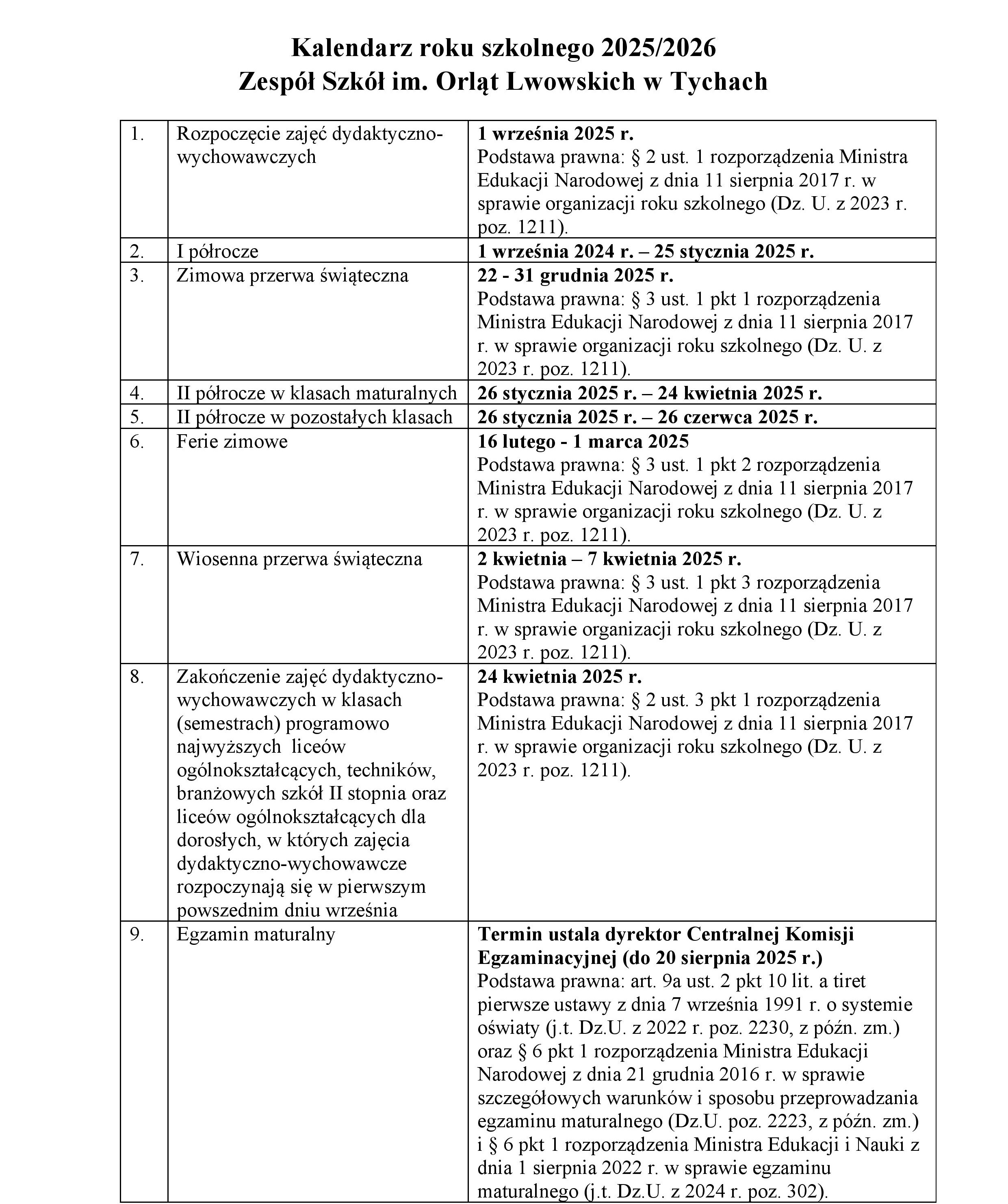
Harmonogram roku szkolnego 2025/2026
Harmonogram roku szkolnego 2025/2026